Highlights:
Cyclone drilling discovers more high-grade copper: Assays confirm that the latest diamond drilling at the Cyclone Deposit has intersected thick, high-grade, near-surface copper intervals outside of the current pit designs, including:
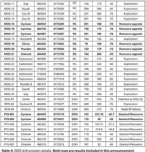
Reverse Circulation (RC) drilling results support resource upgrade and expansion: Assays from the resource drilling around and within the Cyclone, Chinook, Thunder, and Cirrus Deposits continue to intersect thick copper intervals with positive implications for resource expansion at Storm.
Mine development workstreams continue with permitting and Pre-Feasibility Study (“PFS”) work underway for a potential mine development at Storm.
Aston Bay Holdings Ltd. (TSXV: BAY) (OTCQB: ATBHF) ("Aston Bay" or the "Company") is pleased to provide an update on exploration activities at the Storm Copper Project ("Storm" or the "Project") on Somerset Island, Nunavut. American West Metals Limited ("American West"), the Project operator, is conducting the exploration program. Aston Bay and American West have formed a 20/80 unincorporated joint venture with respect to the Storm Project property, with Aston Bay maintaining a free carried interest until a decision to mine is made upon completion of a bankable feasibility study.
Thomas Ullrich, Chief Executive Officer of Aston Bay, commented:
"We are very encouraged by these new intercepts of near-surface copper mineralization at Storm. In addition to high-grade intervals within the current resource envelope, geotechnical drilling has intercepted thick, high-grade intervals up to 27.3% copper within the proposed pit walls, extending beyond the limits of the current resource. These results strongly support the potential for significant resource expansion at Storm.
Additional assays remain pending and permitting activities are advancing as the Project moves rapidly toward a resource update and Pre-Feasibility Study in early 2026. With these near-term development plans in the works, we anticipate that Storm Project will receive recognition from Canadian government agencies charged with advancing domestic supply chains for critical minerals.”

Figure 1: Diamond drilling at the Cyclone Deposit, Storm Project, Nunavut.
COPPER INTERSECTIONS OUTSIDE OF CURRENT PROPOSED CYCLONE PIT
Assay results from the first two geotechnical/resource diamond drill holes at the Cyclone Deposit have been received and highlight the resource upgrade and expansion potential of the current proposed open pit design.
The assays confirm thick and high-grade intersections of copper close to the surface outside of the proposed pit design, as well as within other key areas within the current resource envelope. The drilling was designed for geotechnical purposes (testing the open pit wall designs) and to test the margins of the deposit. The deposit remains open to the north and north-west.
Drill hole PFS-001 details
PFS-001 was drilled to a depth of 152m on the southern margin of the Cyclone Deposit (Figures 2, 6 & 7).
The drill hole intersected two broad zones of sulphide mineralization (see Table 1). The upper zone from 30-48m (Figure 3) is similar to that intersected in SR24-070 and extends the mineralization 16m south within the designed pit. The lower zone of mineralization is located from 81-86m and outside of the current pit design (Figure 2).
The drill hole is interpreted to have intersected one of a series of faults that bound the central graben to the north and offset the stratigraphy downward to the south. Two styles of mineralization are present within PFS-001: stratabound at a depth of approximately 83m and intermittent fault-hosted at a downhole depth of 92m. The copper sulphide mineralization is hosted within a thick sequence of fractured and brecciated dolomudstones of the Allen Bay Formation.

Figure 2: Schematic NE-SW geological section (+/-25m) through PFS-002. Significant copper mineralization has been intersected outside of the current open-pit design.

Figure 3: Dense breccia and semi-massive visual chalcocite (dark grey mineral) in drill hole PFS-001 (33.4-40.5m downhole). This interval assayed at an average grade of 2.2% Cu, 12g/t Ag.
Drill hole PFS-002 details
PFS-002 was drilled to a depth of 176m on the northern margin of the Cyclone Deposit (Figures 5, 6 & 7).
The drill hole has intersected a broad zone of copper mineralization (see Table 2), including semi-massive chalcocite (Figure 4) between 70–82.1m downhole at an average grade of 5.6% Cu. The copper sulphide mineralization is hosted within a thick sequence of fractured dolomudstones of the Allen Bay Formation. The mineralized interval consists of stratabound veinlets and breccias and is zoned, like the rest of the Cyclone Deposit, with a core of chalcocite surrounded by lesser pyrite.
The copper mineralization in PFS-002 is located approximately 70m to the north of the current pit design. Follow-up drilling further to the north-east also intersected mineralization within the same horizon (9.1m @ 0.6% Cu, 3.7g/t Ag in SR25-017 – Figure 5). The mineralized horizon remains open to the north and along the entire northern margin of the deposit, highlighting the growth potential of the existing resource.

Figure 4: Dense semi-massive and breccia visual chalcocite (dark grey mineral) from PFS-002 (72.7-76.5m downhole). This interval assayed at an average grade of 8.3% Cu, 31g/t Ag.

Figure 5: Schematic NE-SW geological section (+/-25m) through PFS-002. Significant copper mineralization has been intersected outside of the current open-pit design.

Figure 6: Drill hole locations from the 2025 geotechnical and resource drilling program included in this report, overlaying deposit MRE outlines and existing drilling, overlying aerial photography.

Figure 7: Drill hole locations at Cyclone from the 2025 geotechnical and resource drilling program included in this report, overlaying MRE and pit outlines, existing drilling, and aerial photography. (Figure 3 and 5 section lines are indicated by light shaded areas).
THICK COPPER INTERSECTIONS FROM RC DRILLING
Assay results from the additional Reverse Circulation (RC) resource drilling at the Corona, Thunder, Chinook, and Cyclone Deposits have been received and continue to highlight the strong continuity and resource upgrade potential of these deposits (Figure 6, 7 & 8).
Thick intersections of copper close to the surface have been confirmed in key areas within and outside of the current resource envelopes (drill holes SR25-011, -015, -016, -017, -019, and -020). The drilling was designed to upgrade the existing inferred category resources and to potentially expand the current open-pit designs. Importantly, several of these intervals have higher grades than the current resource estimate (MRE), confirming confidence in the continuity and quality of the current resources.

Figure 8: Drill hole locations in the southern areas from the 2025 resource drilling program included in this report, overlaying MRE and pit outlines, existing drilling, and aerial photography.
FORWARD PROGRAM
Qualified Person
Michael Dufresne, M.Sc., P.Geol., P.Geo., is a Non-Independent Qualified Person as defined by the NI 43-101 Standards of Disclosure for Mineral Projects and has reviewed and approved the scientific and technical information in this press release.
QA/QC Protocols
The analytical work reported herein was performed by ALS Global (“ALS”), Vancouver, Canada. ALS is an ISO-IEC 17025:2017 and ISO 9001:2015 accredited geoanalytical laboratory and is independent of Aston Bay Holdings Ltd., American West Metals Limited, and the QP.
Samples were subject to 33-element geochemistry by four-acid digestion and inductively coupled plasma atomic emission spectroscopy (ICP-AES) to determine concentrations of copper, silver, lead, zinc, and other elements (ALS Method ME-ICP61a).
Aston Bay Holdings Ltd. and American West Metals Limited followed industry standard procedures for the work carried out on the Storm Project, incorporating a quality assurance/quality control (QA/QC) program. Blank, duplicate, and standard samples were inserted into the sample sequence and sent to the laboratory for analysis. No significant QA/QC issues were detected during the review of the data. Aston Bay Holdings Ltd. and American West Metals Limited are not aware of any drilling, sampling, recovery, or other factors that could materially affect the accuracy or reliability of the data referred to herein.
About Aston Bay Holdings
Aston Bay is a publicly traded mineral exploration company exploring for high-grade critical and precious metal deposits in North America. The Company is exploring the Storm Copper Property and Cu-Ag-Zn-Co Epworth Property in Nunavut.
The Company and its joint venture partners, American West Metals Limited and its wholly-owned subsidiary, Tornado Metals Ltd. (collectively, "American West"), have formed a 20/80 unincorporated joint venture in respect of the Storm Project property, which hosts the Storm Copper Project and the Seal Zinc Deposit. Under the unincorporated joint venture, Aston Bay shall have a free carried interest until American West has made a decision to mine upon completion of a bankable feasibility study, meaning American West will be solely responsible for funding the joint venture until such a decision is made. After such a decision, Aston Bay will be diluted in the event it does not elect to contribute its proportionate share, and its interest in the Storm Project property will be converted into a 2% net smelter returns royalty if its interest is diluted to below 10%.
FORWARD-LOOKING STATEMENTS
Statements made in this news release, including those regarding entering into the joint venture and each party's interest in the Project pursuant to the agreement in respect of the joint venture, management objectives, forecasts, estimates, expectations, or predictions of the future may constitute "forward-looking statement", which can be identified by the use of conditional or future tenses or by the use of such verbs as "believe", "expect", "may", "will", "should", "estimate", "anticipate", "project", "plan", and words of similar import, including variations thereof and negative forms. This press release contains forward-looking statements that reflect, as of the date of this press release, Aston Bay's expectations, estimates and projections about its operations, the mining industry and the economic environment in which it operates. Statements in this press release that are not supported by historical fact are forward-looking statements, meaning they involve risk, uncertainty and other factors that could cause actual results to differ materially from those expressed or implied by such forward-looking statements. Although Aston Bay believes that the assumptions inherent in the forward-looking statements are reasonable, undue reliance should not be placed on these statements, which apply only at the time of writing of this press release. Aston Bay disclaims any intention or obligation to update or revise any forward-looking statement, whether as a result of new information, future events or otherwise, except to the extent required by securities legislation.
Neither TSX Venture Exchange nor its regulation services provider (as that term is defined in policies of the TSX Venture Exchange) accepts responsibility for the adequacy or accuracy of this news release.
For more information contact:
Thomas Ullrich, Chief Executive Officer
thomas.ullrich@astonbayholdings.com
(416) 456-3516
Sofia Harquail, IR and Corporate Development
sofia.harquail@astonbayholdings.com
(647) 821-1337